Skip to content

[LeetCode] 998. Maximum Binary Tree II #998

@grandyang

Description

@grandyang

We are given the root node of a  maximum tree:  a tree where every node has a value greater than any other value in its subtree.

Just as in the previous problem, the given tree was constructed from an list A (root = Construct(A)) recursively with the following Construct(A) routine:

  • If A is empty, return null.
  • Otherwise, let A[i] be the largest element of A.  Create a root node with value A[i].
  • The left child of root will be Construct([A[0], A[1], ..., A[i-1]])
  • The right child of root will be Construct([A[i+1], A[i+2], ..., A[A.length - 1]])
  • Return root.

Note that we were not given A directly, only a root node root = Construct(A).

Suppose B is a copy of A with the value val appended to it.  It is guaranteed that B has unique values.

Return Construct(B).

Example 1:

Input: root = [4,1,3,null,null,2], val = 5
Output: [5,4,null,1,3,null,null,2]
Explanation: A = [1,4,2,3], B = [1,4,2,3,5]

Example 2:

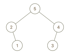
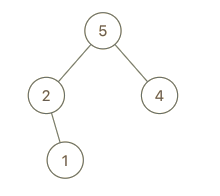
Input: root = [5,2,4,null,1], val = 3
Output: [5,2,4,null,1,null,3] Explanation: A = [2,1,5,4], B = [2,1,5,4,3]

Example 3:

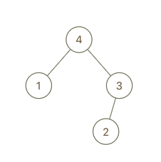
Input: root = [5,2,3,null,1], val = 4
Output: [5,2,4,null,1,3] Explanation: A = [2,1,5,3], B = [2,1,5,3,4]

Constraints:

  • 1 <= B.length <= 100

这道题完全是基于之前那道 Maximum Binary Tree 出的,没做上面这道就不太好理解这道题的意思,简单说一下,之前那道题就是给了一个数组,然后用其中最大的值当作根结点,且左边的子数组递归生成左子树,右边的子数组递归生成右子树。而这道题没有给初始数组,而是给了一个已经按这种方式生成的二叉树,然后说是在生成该二叉树的原数组的后面加上一个数字 val,让返回生成新的二叉树。最笨的方法就是先根据二叉树还原出原数组,然后在加上 val,再次调用 Maximum Binary Tree 中的方法生成的新的二叉树。这种方法可以通过 OJ,但是感觉不太聪明的样子,其实这道题有很简洁的解法,几行就搞定了。由于新的数字 val 一定是加在数组的末尾的,其在数组中的大小关系就变的很重要了,由于数组中的最大值将作为根结点,若 val 是最大值,则其一定是新的根结点,原二叉树直接变成其左子树了,直接就得到了结果。若 val 小于当前数组的最大值,则其一定是在右子树中,则可以对最大值右边的子数组调用递归函数,即对根结点的右子结点调用递归函数,将返回的结点更新为新的右子结点即可,参见代码如下:

class Solution {
public:
    TreeNode* insertIntoMaxTree(TreeNode* root, int val) {
        if (root && root->val > val) {
            root->right = insertIntoMaxTree(root->right, val);
            return root;
        }
        return new TreeNode(val, root, nullptr);
    }
};

Github 同步地址:

#998

类似题目:

Maximum Binary Tree

参考资料:

https://leetcode.com/problems/maximum-binary-tree-ii/

https://leetcode.com/problems/maximum-binary-tree-ii/discuss/242897/Java-clean-recursive-solution

https://leetcode.com/problems/maximum-binary-tree-ii/discuss/242936/JavaC%2B%2BPython-Recursion-and-Iteration

LeetCode All in One 题目讲解汇总(持续更新中...)

Metadata

Metadata

Assignees

No one assigned

    Labels

    No labels
    No labels

    Projects

    No projects

    Milestone

    No milestone

    Relationships

    None yet

    Development

    No branches or pull requests

    Issue actions