Skip to content

[LeetCode] 993. Cousins in Binary Tree #993

@grandyang

Description

@grandyang

In a binary tree, the root node is at depth 0, and children of each depth k node are at depth k+1.

Two nodes of a binary tree are  cousins  if they have the same depth, but have different parents.

We are given the root of a binary tree with unique values, and the values x and y of two different nodes in the tree.

Return true if and only if the nodes corresponding to the values x and y are cousins.

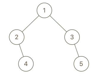
Example 1:

Input: root = [1,2,3,4], x = 4, y = 3
Output: false

Example 2:

Input: root = [1,2,3,null,4,null,5], x = 5, y = 4
Output: true

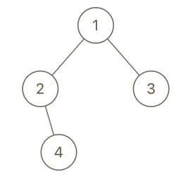
Example 3:

Input: root = [1,2,3,null,4], x = 2, y = 3
Output: false

Constraints:

  • The number of nodes in the tree will be between 2 and 100.
  • Each node has a unique integer value from 1 to 100.

这道题定义了一种二叉树数的表兄弟结点,就是不属于同一个父结点,但是深度相同,现在给了两个结点值,问它们代表的结点是否是表兄弟结点。由于表兄弟结点一定是属于同一层的,所以可以使用二叉树的层序遍历,就像之前那道 Binary Tree Level Order Traversal 一样。这里额外需要两个布尔型变量 isX,isY 来记录x和y是否已经遍历到了。由于是层序遍历,所以 while 中需要有个 for 循环,在循环中,取出队首结点,然后看结点值是否等于x或y,是的话标记布尔变量。然后检查当前结点的左右子结点是否分别是x和y,是的话直接返回 false。否则将左右子结点排入队列之中,若存在的话。当前层遍历完了之后,检查 isX 和 isY 的值,若同时为 true,表示存在表兄弟结点,返回 true。若只有一个为 true 的话,说明二者不在同一层,直接返回 false,参见代码如下:

解法一:

class Solution {
public:
    bool isCousins(TreeNode* root, int x, int y) {
        queue<TreeNode*> q{{root}};
        bool isX = false, isY = false;
        while (!q.empty()) {
            for (int i = q.size(); i > 0; --i) {
                TreeNode *cur = q.front(); q.pop();
                if (cur->val == x) isX = true;
                if (cur->val == y) isY = true;
                if (cur->left && cur->right) {
                    int left = cur->left->val, right = cur->right->val;
                    if ((left == x && right == y) || (left == y && right == x)) return false;
                }
                if (cur->left) q.push(cur->left);
                if (cur->right) q.push(cur->right);
            }
            if (isX && isY) return true;
            if (isX || isY) return false;
        }
        return false;
    }
};

当然我们也可以用递归的方法来做,由于不能同时处理同一层的结点,就需要两个变量 depthX 和 depthY 来记录结点x和y的深度,同时再用个布尔变量 sameParent 来记录这两个结点是否有相同的父结点。在递归函数中,若当前结点 node 为空,直接返回。若当前结点值是x,则 depthX 赋值为当前深度 cur,同理,若当前结点值是y,则 depthY 赋值为当前深度 cur。然后检查当前结点的左右子结点是否分别是x和y,是的话 sameParent 标记为 true,最后分别对左右子结点调用递归即可,参见代码如下:

解法二:

class Solution {
public:
    bool isCousins(TreeNode* root, int x, int y) {
        int depthX = 0, depthY = 0;
        bool sameParent = false;
        helper(root, x, y, 0, depthX, depthY, sameParent);
        return !sameParent && depthX == depthY;
    }
    void helper(TreeNode* node, int x, int y, int cur, int& depthX, int& depthY, bool& sameParent) {
        if (!node) return;
        if (node->val == x) depthX = cur;
        if (node->val == y) depthY = cur;
        if (node->left && node->right) {
            int left = node->left->val, right = node->right->val;
            if ((left == x && right == y) || (left == y && right == x)) sameParent = true;
        }
        helper(node->left, x, y, cur + 1, depthX, depthY, sameParent);
        helper(node->right, x, y, cur + 1, depthX, depthY, sameParent);
    }
};

接下来这种方法是博主在 Contest 时想出来的,思路比较简单粗暴,就是建立每个结点和其深度跟父结点组成的 pair 对儿之间的映射,然后就可以直接用x和y去获得其深度和父结点进行比较即可,参见代码如下:

解法三:

class Solution {
public:
    bool isCousins(TreeNode* root, int x, int y) {
		unordered_map<int, pair<int, int>> m;
		helper(root, 0, -1, m);
		return m[x].first == m[y].first && m[x].second != m[y].second;
    }
    void helper(TreeNode* node, int depth, int parent, unordered_map<int, pair<int, int>>& m) {
    	if (!node) return;
    	m[node->val] = {depth, parent};
    	helper(node->left, depth + 1, node->val, m);
    	helper(node->right, depth + 1, node->val, m);
    }
};

Github 同步地址:

#993

类似题目:

Binary Tree Level Order Traversal

参考资料:

https://leetcode.com/problems/cousins-in-binary-tree/

https://leetcode.com/problems/cousins-in-binary-tree/discuss/238536/My-Easy-Recursive-C%2B%2B-Solution

https://leetcode.com/problems/cousins-in-binary-tree/discuss/239376/Java-BFS-time-and-space-beat-100

LeetCode All in One 题目讲解汇总(持续更新中...)

Metadata

Metadata

Assignees

No one assigned

    Labels

    No labels
    No labels

    Projects

    No projects

    Milestone

    No milestone

    Relationships

    None yet

    Development

    No branches or pull requests

    Issue actions