Skip to content

[LeetCode] 25. Reverse Nodes in k-Group #25

@grandyang

Description

@grandyang


请点击下方图片观看讲解视频
Click below image to watch YouTube Video
Video

Given the head of a linked list, reverse the nodes of the list k at a time, and return the modified list.

k is a positive integer and is less than or equal to the length of the linked list. If the number of nodes is not a multiple of k then left-out nodes, in the end, should remain as it is.

You may not alter the values in the list's nodes, only nodes themselves may be changed.

Example 1:

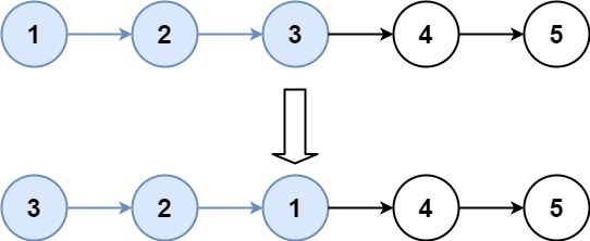
**Input:** head = [1,2,3,4,5], k = 2
**Output:** [2,1,4,3,5]

Example 2:

**Input:** head = [1,2,3,4,5], k = 3
**Output:** [3,2,1,4,5]

Constraints:

  • The number of nodes in the list is n.
  • 1 <= k <= n <= 5000
  • 0 <= Node.val <= 1000

Follow-up: Can you solve the problem in O(1) extra memory space?

这道题让我们以每k个为一组来翻转链表,实际上是把原链表分成若干小段,然后分别对其进行翻转,那么肯定总共需要两个函数,一个是用来分段的,一个是用来翻转的,以题目中给的例子来看,对于给定链表 1->2->3->4->5,一般在处理链表问题时,大多时候都会在开头再加一个 dummy node,因为翻转链表时头结点可能会变化,为了记录当前最新的头结点的位置而引入的 dummy node,加入 dummy node 后的链表变为 -1->1->2->3->4->5,如果k为3的话,目标是将 1,2,3 翻转一下,那么需要一些指针,pre 和 next 分别指向要翻转的链表的前后的位置,然后翻转后 pre 的位置更新到如下新的位置:

-1->1->2->3->4->5
 |        |  |
pre      cur next


-1->3->2->1->4->5  

|     |  |  

cur   pre next

以此类推,只要 cur 走过k个节点,那么 next 就是 cur->next,就可以调用翻转函数来进行局部翻转了,注意翻转之后新的 cur 和 pre 的位置都不同了,那么翻转之后,cur 应该更新为 pre->next,而如果不需要翻转的话,cur 更新为 cur->next,代码如下所示:

解法一:

class Solution {
public:
    ListNode* reverseKGroup(ListNode* head, int k) {
        if (!head || k == 1) return head;
        ListNode *dummy = new ListNode(-1), *pre = dummy, *cur = head;
        dummy->next = head;
        for (int i = 1; cur; ++i) {
            if (i % k == 0) {
                pre = reverseOneGroup(pre, cur->next);
                cur = pre->next;
            } else {
                cur = cur->next;
            }
        }
        return dummy->next;
    }
    ListNode* reverseOneGroup(ListNode* pre, ListNode* next) {
        ListNode *last = pre->next, *cur = last->next;
        while(cur != next) {
            last->next = cur->next;
            cur->next = pre->next;
            pre->next = cur;
            cur = last->next;
        }
        return last;
    }
};

我们也可以在一个函数中完成,首先遍历整个链表,统计出链表的长度,然后如果长度大于等于k,交换节点,当 k=2 时,每段只需要交换一次,当 k=3 时,每段需要交换2此,所以i从1开始循环,注意交换一段后更新 pre 指针,然后 num 自减k,直到 num<k 时循环结束,参见代码如下:

解法二:

class Solution {
public:
    ListNode* reverseKGroup(ListNode* head, int k) {
        ListNode *dummy = new ListNode(-1), *pre = dummy, *cur = pre;
        dummy->next = head;
        int num = 0;
        while (cur = cur->next) ++num;
        while (num >= k) {
            cur = pre->next;
            for (int i = 1; i < k; ++i) {
                ListNode *t = cur->next;
                cur->next = t->next;
                t->next = pre->next;
                pre->next = t;
            }
            pre = cur;
            num -= k;
        }
        return dummy->next;
    }
};

我们也可以使用递归来做,用 head 记录每段的开始位置,cur 记录结束位置的下一个节点,然后调用 reverse 函数来将这段翻转,然后得到一个 new_head,原来的 head 就变成了末尾,这时候后面接上递归调用下一段得到的新节点,返回 new_head 即可,参见代码如下:

解法三:

class Solution {
public:
    ListNode* reverseKGroup(ListNode* head, int k) {
        ListNode *cur = head;
        for (int i = 0; i < k; ++i) {
            if (!cur) return head;
            cur = cur->next;
        }
        ListNode *new_head = reverse(head, cur);
        head->next = reverseKGroup(cur, k);
        return new_head;
    }
    ListNode* reverse(ListNode* head, ListNode* tail) {
        ListNode *pre = tail;
        while (head != tail) {
            ListNode *t = head->next;
            head->next = pre;
            pre = head;
            head = t;
        }
        return pre;
    }
};

Github 同步地址:

#25

类似题目:

Swap Nodes in Pairs

参考资料:

https://leetcode.com/problems/reverse-nodes-in-k-group/

https://leetcode.com/problems/reverse-nodes-in-k-group/discuss/11435/C%2B%2B-Elegant-and-Small

https://leetcode.com/problems/reverse-nodes-in-k-group/discuss/11457/20-line-iterative-C%2B%2B-solution

https://leetcode.com/problems/reverse-nodes-in-k-group/discuss/11440/Non-recursive-Java-solution-and-idea

https://leetcode.com/problems/reverse-nodes-in-k-group/discuss/11423/Short-but-recursive-Java-code-with-comments

LeetCode All in One 题目讲解汇总(持续更新中...)

(欢迎加入博主的知识星球,博主将及时答疑解惑,并分享刷题经验与总结,快快加入吧~)

知识星球 喜欢请点赞,疼爱请打赏❤️~.~

微信打赏

|

Venmo 打赏


---|---

Metadata

Metadata

Assignees

No one assigned

    Labels

    No labels
    No labels

    Projects

    No projects

    Milestone

    No milestone

    Relationships

    None yet

    Development

    No branches or pull requests

    Issue actions