- Inorder Tree Traversal
- Start from leaf. recusively traverse leftsubtree, itself, right subtree
- Preorder Tree Traversal * Start from root * The traversal can be done iteratively where the deferred nodes are sorted in the stack or it can be done through recursion.
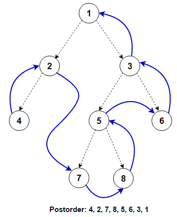
- Postorder Tree Traversal
- Start from leaf, recursively traverse its' left subtree then it's right subtree.
- Root will be the last node to visit.
A topological sort of a directed graph is a linear order of its vertices such that for every directed edge uv from vertex u to v. A topological sort is possible if and only if the graph is DAG.
Techie Delight (https://www.techiedelight.com/top-algorithms-data-structures-concepts-computer-science/)


